Gợi ý tham khảo đáp án môn Toán kỳ thi vào lớp 10 THPT tại Bắc Giang
Thứ 3: 13:36 ngày 04/06/2024
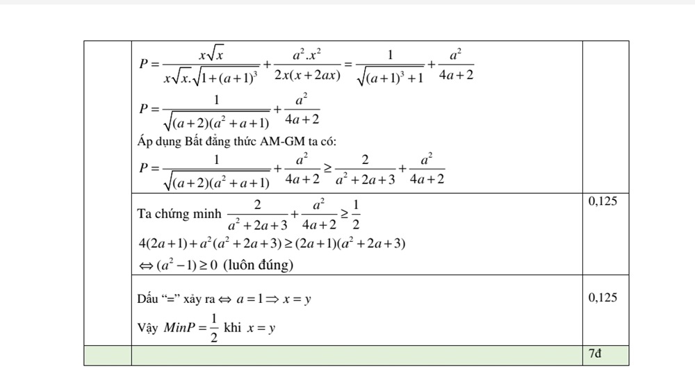
BẮC GIANG - Kết thúc môn Toán kỳ thi tuyển sinh vào lớp 10 THPT không chuyên năm học 2024-2025, thầy Nguyễn Trọng Cường, giáo viên môn Toán, Trường THCS Lê Quý Đôn (TP Bắc Giang) hướng dẫn giải mã đề 104 để phụ huynh và thí sinh tham khảo.
Bắc Ninh

























Ý kiến bạn đọc (0)